Another day another paean to applied science… well, a thinly disguised call for more money to go to engineering. Coz, they make stuff y’know, not like basic researchers or heaven help us AHSS (arts, humanities and social sciences) dabblers. After all, what have the romans, sorry, researchers ever given society…This applied-basic dichotomy (and shouldn’t it be a tricothomy, as whatever happened to translation research?) is not just false its ignorant. And people who peddle it, whether they be retired deans of engineering schools, science funders or politicians who wouldn’t know a quern from a quark are ignorant of their ignorance. It’s a rumsfeldian ignorance in not knowing that they don’t know.
One cannot apply scientific concepts blindly. Well, one can but don’t expect anything much more than a blowup. Take finance (not even a science but hey…) for an example. One could argue that two equations helped blow up the financial system (aided and abetted by a range of human behavior stretching from outright criminality to buck ignorance via political sleevenism). See for discussions on copulas Zimmer, Lee, jones, and for the BS model Hartford, Pollack and Lo (the latter emphasizing the human-ware element)
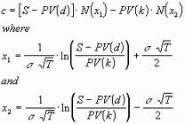
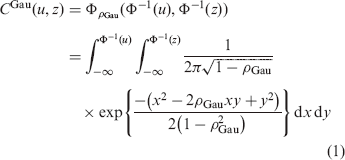
The two are the BlackScholes (which can be abbreviated correctly to BS) equation for the valuation of options and its lesser-known cousin the Gaussian Copula. Most people have heard of the first and fewer of the latter. The GC describes how series move together, a multivariate version of a correlation function.
BS models and their derivatives underlay many derivative models while the GC model was commonly used to model the likely behavior of the elements of risk in collateralized debt and mortgage obligations. And we know how well that worked.
Here is the thing: these basic science models are old. And flawed. They are theoretical constructs, incredibly useful as theories, easy to teach to undergraduates, but ones whose n-th grandchildren are being worked on to slowly, gradually, painstakingly improve the fit of the theoretical model to the real world. The application of these towards products was I contend fatally flawed by a lack of understanding by regulators and some practitioners of how the basic science was moving.
Funding into basic science improves how we apply these. Funding into translational science (which steps between applied and basic) helps improve the feedback. Funding into applied science gives the raw material for the feedback. None is more important than the other. And for a country such as Ireland where it is both impossible to outcompete in basic science with the military-industrial complexes of the world and where there is a need for high value added jobs, this gives an unpalatable policy prescription. We need to keep funding basic research to ensure that those teaching applied and translational science are at the forefront (or at least aware of where it is). If we don’t, we end up with the production of tinkerers capable of making minor adjustments to a preset form but with little understanding of the fundamentals. Worse, we end up with state funding displacing commercial R&D via that being outsourced to the third and fourth level. R&D is high risk and so it makes perfect sense for companies to get it done outside, especially when they can then also complain that the R&D isn’t producing marketable products fast enough.
This policy isn’t sexy – it doesn’t generate lots of quick jobs and doesn’t allow politicians to open factories and ct ribbons at call centers. But then neither did the decision by Donagh O’Malley (made against the advice of the bureaucrats) to open up second level education to all. Slow burns last longer. SFI and the government science apparatchiks need to step back, take a long view and put in place structures that support a decent basic science budget, that encourages


Leave a Reply